Navigation:  Hours of work in RTW >

The importance of structure and routine

Print this Topic Previous pageReturn to chapter overviewNext page
Show/Hide Hidden Text

It takes three weeks to create a habit. Whatever our routine has been for the last three weeks becomes our usual routine and changing it requires motivation.

If a person wants to start attending the gym it takes about 25 visits within two months for it to become their routine. Until the person has been this many times there is a good chance that they will stop, "It's too cold, I'll just get the ironing done first, just another few minutes in bed."

Most employees (and many employers) don't realise the potential enduring consequences that missed work can have. "We take holidays every year, so how much of a problem can a little time off be?" For an employee with an injury or illness it often seems natural to forget about work and "focus on getting better." However within as little as three weeks the routine of work is lost.

Missing work influences recovery. Staying out for only a moderate length of time has a negative effect on the person's physical condition, mental health, beliefs and expectations.

 

Keeping a routine

The best way to avoid this problem is to maintain the everyday routine.

A.Normal or modified duties

If the employee is unable to continue their normal job, modifying the duties or tasks while continuing their usual shift and hours of work is the next best option. Other members of the team can help out with some tasks. In this situation the employee remains with their usual colleagues.

Forward thinking companies often keep their staff on the normal roster doing whatever aspects of their normal job that can be done. The rationale is that a person who can continue their usual job may only be 30-80% productive but they are:

More likely to get back to normal activities sooner
Less likely to feel disenfranchised
Less likely to experience the common concern associated with doing a job they are unfamiliar with, particularly at a vulnerable time
Able, with flexibility, to gradually return to their usual job without a great deal of upheaval
B.Other duties, but on the normal roster

People who do shift work often do it for specific reasons. Changing from afternoon shift to day shift, or working during the week instead of the weekend may be a problem.

The traditional view has been to employ staff on modified duties during business hours. This allows for greater supervision and it is easier to address any problems. However this approach can be disruptive to the person's life.

This may be compounded by working with unknown staff. And problems multiply even further if the tasks they are given are not meaningful.

Case studyAs a return to work administrator you work 9-5. You consider the job is too busy to be done by one person, but work colleagues are ok, some are a bit of fun and you are good at your job.

The main work you do is admin, entering information on a computer much of the day. Tennis elbow develops and becomes a problem.

The boss doesn't understand much about your job, or work injuries, but decides you should help out with a major order that needs to be filled by the end of the month.

This means you will start at 6am and work through till 2pm Wednesday to Saturday when they need people. The work is on the factory floor where you don't know anyone.

The job is mainly supervising a machine, tedious and boring and you wonder if it will continue beyond this particular month.

And your arms are aching.......

 

Re-establishing a routine

The shorter the period of time a person is off work the easier it is to get back into the usual routine.

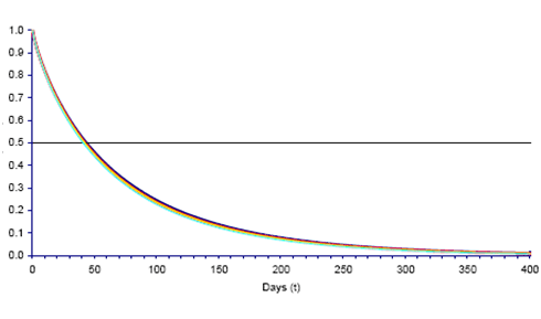
The graph below is from the section titled Not back at work after 3 weeks. It shows the likelihood of return to work falling with increasing days off work. (0.5=50% chance, 0.7=70% chance, 1.0=100% chance) As the graph suggests, the chance of return to work goes down quickly in the first month or two of work absence.

graph_1g

Likelihood of return to work by the number of days off work.  A routine is easier to restore if it fits with the rest of the person's life. Ask the person what will suit them, keep in mind that it needs to work for the employing organisation as well. These things can often be negotiated, particularly on a short term basis. And the goodwill generated from working with an employee to create a win win outcome compensates for the difficulty of changing things to accommodate their needs.

Negotiation should be two way. "How can we support you?", is usually comfortable with "We need this at the moment, can you help us with X?"

 

tipbulb Whatever our routine has been for the last three weeks becomes our usual routine and
changing it requires motivation

 

book_next What's next?
Setting goals and expectations